深耕:人才培育、學習生根
  • 中文(繁體.台灣)
  • English (United Kingdom)
切換導覽
  • 最新消息
  • 計畫執行策略
    • 主冊計畫
      • 第一期計畫
        • 落實教學創新及提升教學品質
        • 發展學校特色
        • 提升高教公共性
        • 善盡大學社會責任
        • 國際特色學院/領域
          • 永續地球環境特色領域
            • 目標
            • 方案
            • 執行方式
          • 智慧系統領域
            • 目標
            • 執行策略
      • 第二期計畫
    • 特色領域研究中心
      • 第一期計畫
        • 太空科學與科技研究中心
        • 高能與強場物理研究中心
        • 地震災害鏈風險評估及管理研究中心
        • 新世代光驅動電池模組研究中心
      • 第二期計畫
  • 執行成果
    • 第一期主冊計畫
      • 成果亮點
        • 107年
        • 108年
        • 109年
        • 110年
        • 111年
      • 落實教學創新及提升教學品質
        • 107年
        • 108年
        • 109年
        • 110年
        • 111年
      • 發展學校特色
        • 107年
        • 108年
        • 109年
        • 110年
        • 111年
      • 提升高教公共性
        • 107年
        • 108年
        • 109年
        • 110年
        • 111年
      • 善盡大學社會責任
        • 107年
        • 108年
        • 109年
        • 110年
        • 111年
      • 國際特色學院/領域
        • 永續地球環境特色領域
          • 107年
          • 108年
          • 109年
          • 110年
          • 111年
        • 智慧系統領域
          • 107年
          • 108年
          • 109年
          • 110年
          • 111年
      • 績效指標
        • 107年
          • 部訂量化指標
          • 校訂量化指標
        • 108年
        • 109年
        • 110年
        • 111年
      • 主冊執行成果報告(完整版)
        • 107年主冊執行成果報告(完整版)
        • 高等教育深耕計畫第一階段(107-108年)主冊(含國際重點學院)成果報告暨第二階段(109-111年)計畫書
        • 高等教育深耕計畫109年主冊(含國際重點學院) 成果報告暨110-111年計畫書
        • 高等教育深耕計畫第一部分主冊(含國際重點學院)110年 成果報告暨111年計畫書
        • 高等教育深耕計畫主冊第一期(107-111年)成果報告暨第二期(112-116年)年計畫書
      • 其他佐證資料
        • 重要政策推動事項
          • 107-108年
          • 109年
          • 110年
          • 111年
    • 第二期主冊計畫
      • 教學創新精進
      • 善盡社會責任
      • 產學合作連結
      • 提升高教公共性
      • 國際重點學院/領域
      • 資安專章
      • 成果亮點
        • 112年
        • 113年
        • 114年
      • 其他佐證資料
        • 113年主冊重要政策推動事項
    • 特色領域研究中心
      • 太空科學與科技研究中心
      • 高能與強場物理研究中心
      • 地震災害鏈風險評估及管理研究中心
      • 新世代光驅動電池模組研究中心
  • 相關辦法/文件
    • 辦法
      • 教育部相關辦法
      • 中央大學相關辦法
    • 表格
      • 專案教師、專案研究人員相關表格
      • 尖端統籌款相關表格
      • 出國報告
      • 經費展期相關表格
  • 高等教育深耕計畫管考平臺
  • 本計畫辦公室成員
  • 相關連結
  • 第一期計畫成果專輯
中央大學與挪威南森遙測中心締約 致力海洋遙測與氣候變遷研究
臺灣「希望種子」入庫北極世界種子庫 永續發展重要里程碑
建置世界首座極地棧橋 台灣極地研究中心獲「點將家」千萬捐助
英數兩全與數學男孩的旅程 中大EMI教材與數學科普小說發表會

【國際重點學院/領域】中央大學建立PM2.5成分時空模型 助益空污治理與公衛健康

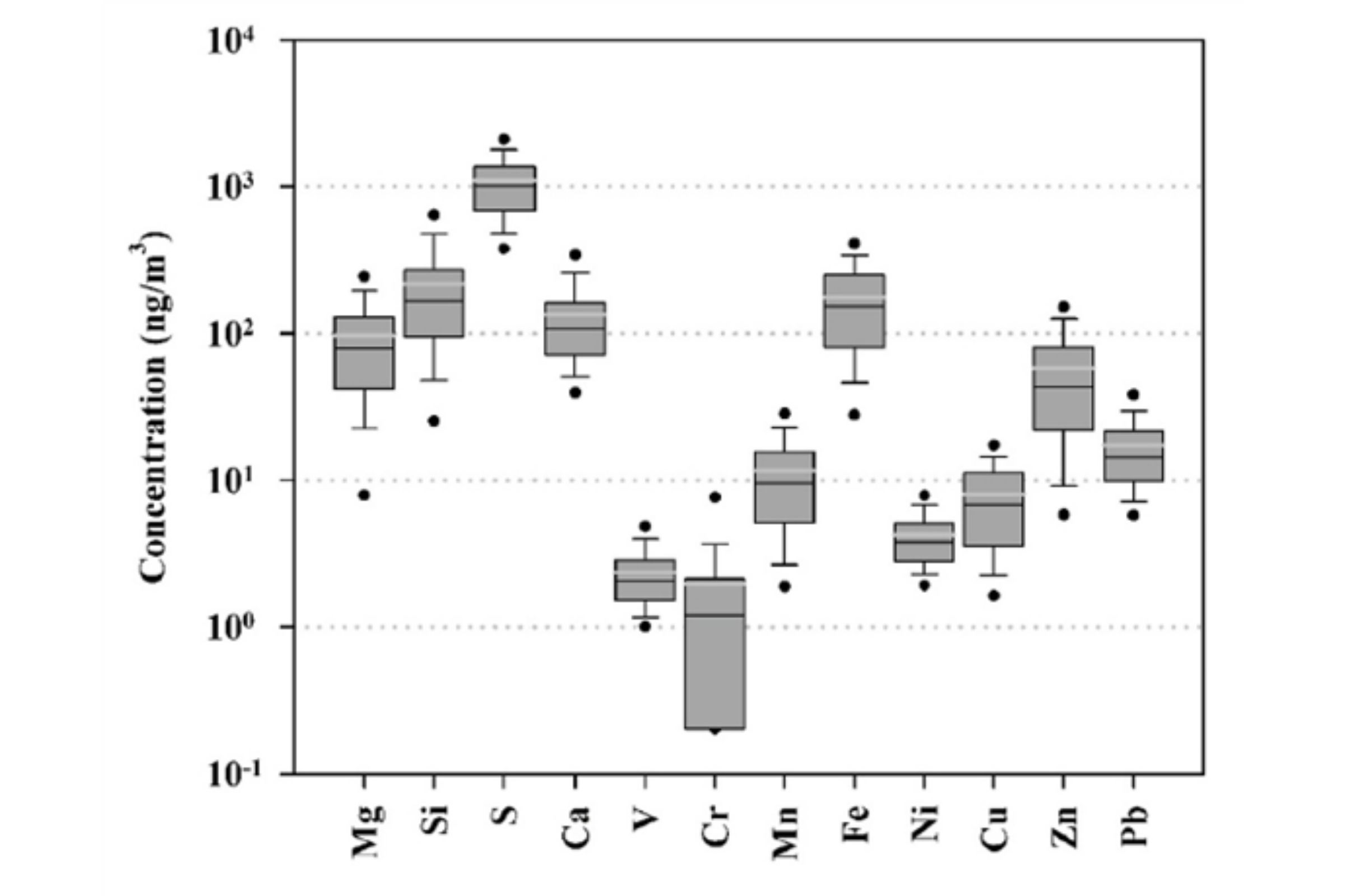
  • 中央大學太空及遙測研究中心林唐煌教授與臺灣大學公共衛生學院吳章甫教授、國內多所大學及學術研究機構合作,並獲得國科會與教育部高教深耕計畫的支持,利用機器學習技術建立臺灣本島PM2.5元素成分的時空分布模型,可大幅提升醫師在空氣污染所導致眾多疾病的主因診斷,對於精準環境醫學與生物科技新知有重要突破,最新研究成果近日發表於國際期刊 Atmospheric Pollution Research. 空氣污染對人體健康影響日益嚴重,細懸浮微粒(PM2.5)能深入人體呼吸道並進入血液循環,對心肺與全身健康造成威脅。PM2.5的毒性與健康風險不僅取決於總濃度,更與其內含的化學元素組成密切相關。林唐煌教授的團隊針對臺灣本島28個空氣品質監測站,自2021年6月至2022年5月,蒐集涵蓋四季的 PM2.5 樣本,並分析其中12種元素(包括鉛、鎳、鐵、硫等)之濃度變化。研究團隊結合兩種模型技術:典型統計「廣義相加模型(GAM)」用以移除氣象因子造成的PM2.5成分時間變異,再以機器學習「極限梯度提升法(XGBoost)」分析剩餘變異與土地利用型態(如工業、道路、綠地)、地形及周邊排放源等空間變數之關聯性。透過此「集成式模型」得以更全面地捕捉PM2.5元素成分的高解析度時空分布,並探索污染來源的可能性。 研究結果凸顯不同污染源對PM2.5成分分布的影響,例如鉛(Pb)元素具健康效應。研究發現鉛的濃度分布主要受到工業建築用地和道路長度影響。此外,研究亦發現硫(S)、鈣(Ca)、鎳(Ni)與鉛(Pb)元素的高濃度地區集中於臺灣中南部,顯示應針對當地潛在污染源加強監控與管理。 林唐煌教授表示,整合典型統計與機器學習在環境健康研究中有相當的應用潛力,有助於政府在區域性空污減量政策制定及熱點監控上,提供重要參考依據,對環境污染監測與公共衛生風險評估帶來重要貢獻。未來研究團隊將進一步結合風險資料,深入探討空污成分對大眾健康的影響。 (資料來源:https://ncusec.ncu.edu.tw/news/headlines_content.php?H_ID=4541)

相關新聞

  • 【國際重點學院/領域】首屆「氣候極端與社會韌性國際論壇」 聚焦乾旱、熱害與暖化世界中的人類宜居性
  • 【教學創新精進】中央大學與「三冠」名校芬蘭阿爾托大學合作 培育具全球高度的管理菁英
  • 【國際重點學院/領域】中央大學與泰國 Srinakharinwirot 大學合作 國際合作注入新動能
  • 【國際重點學院/領域】中大與中研院共同舉辦AI國際論壇 聚焦氣候、教育與社會影響力
  • 【太空科學與科技研究中心】地球上空出現罕見「電漿巨洞」!中央大學團隊揭開母親節磁暴的神秘現象
  • 【善盡社會責任】大學永續發展倡議書 中央大學與台灣永續能源研究基金會共同簽署
  • 【國際重點學院/領域】台灣地熱開發潛能評估新突破!中央大學團隊發表板岩滲透率評估新法
  • 【國際重點學院/領域】中央大學躋身2026年QS排名全國前十 亞洲名列108強
  • 【教學創新精進】「歷史改變氣象,氣象創造歷史」 中央氣象署呂國臣署長談颱風預警的前世今生
  • 【國際重點學院/領域】中央大學氫能研究中心揭牌 與德國于利希研究中心簽署MOU
  • 【善盡社會責任】永續論壇共築淨零願景 中大與市府攜手邁向2050永續未來
  • 【產學合作連結】桃園市T-CERT現地輔導訪視 產官學攜手打造韌性城市
  • 【國際重點學院/領域】綠氫綠氨接軌未來 中央大學打造臺灣航運低碳轉型新引擎
  • 【國際重點學院/領域】中央大學盛大舉辦 第十四屆再生能源與奈米科技國際研討會(JCREN 2025)
  • 【產學合作連結】中央大學閃耀2025創博會 榮獲2金5銀3銅與微星企業特別獎
  • 【國際重點學院/領域】中大與市府攜手打造全台首座碳封存示範場 邁向淨零碳排新里程
  • 【國際重點學院/領域】國立中央大學揭露隱藏半世紀之液晶光學現象
  • 【國際重點學院/領域】「中央大學越南校友會」成立 深化國際連結與情誼
  • 【國際重點學院/領域】中大新型高熵觸媒技術 助氨廢水處理與綠色氫氣生成
  • 【教學創新精進】中央大學「半導體光電科技碩士班」 115學年度起正式招生

高等教育深耕計畫----交流分享會公告

  • 開南大學於114年12月10日(三)辦理「114年高等教育深耕計畫成果展」
  • 臺北醫學大學於114年11月12日至11月14日辦理「114年度高教深耕計畫成果展」
  • 國立臺東大學於114年11月28日至12月4日舉辦「114年度高教教育深耕計畫成果展」
  • 樹德科技大學於114年11月4日至115年1月9日辦理「114年度高等教育深耕計畫聯合成果展」
  • 國立屏東大學於114年11月18(星期二)至24日舉辦「114年高等教育深耕計畫暨XPlorer探索者計畫跨校成果展」
  • 國立臺南藝術大學於114年11月15日辦理「114年高等教育深耕計畫成果發表」
  • 國立雲林科技大學於114年11月27日(星期四)辦理「2025教育部高等教育深耕計畫成果展示暨記者會」
  • 中山醫學大學於114年11月5日(三)至11日(二)辦理「114年高等教育深耕計畫成果發表-創新實踐、跨域融合、永續共榮」成果展
  • 國立虎尾科技大學於114年1月15日(三)舉辦「教育雙生.啟動AI賦能」113年度高等教育深耕計畫成果展
  • 明新學校財團法人明新科技大學於113年12月23日至113年12月27日辦理「113年高等教育深耕計畫成果展」

  • 登入
  • 管理者
  • 登出

回到上面

© 2025 深耕:人才培育、學習生根

DMC Firewall is developed by Dean Marshall Consultancy Ltd